horizontal-logo

+1 (415) 440-4433
  • Request for Quote (0)

  vertical-logo

+1 (415) 440-4433
+1 (415) 440-4433
  • Request for Quote (0)
  • About NMC
  • Products
    • Reagent Kits
      • IBA Synthera®
      • GE TRACERlab
      • Siemens Explora™ FDG4
    • Ancillary Supply Sets
      • GE TRACERlab
      • IBA Synthera®
    • Cassettes
      • GE TRACERlab MX
      • IBA Synthera®
    • READI-CLING™ Cartridges
      • GE TRACERlab
      • Siemens Explora™
      • Light QMA Cartridge
      • C18 Cartridge
      • Aluminum Oxide Cartridge
    • FILL-EASE™ Vials, Stoppers and Seals
      • Vials
        • Sterile Empty Vials (SEV)
        • Sterile Evacuated Vials (SVV)
        • Sterile Air-Filled Vials (SV)
        • Sterile Water-Filled Vials (WSV)
        • Sterile Saline-Filled Vials (SSV)
        • Sterile Argon-Filled Vials (ASV)
        • Sterile Nitrogen-Filled Vials (NSV)
      • Stoppers
        • Rubber Stoppers (13 mm)
        • Rubber Stoppers (20 mm)
        • Rubber Stoppers (26 mm)
      • Aluminum Seals
        • Standard Seal (20 mm)
        • Standard Seal (13 mm)
        • Flip Top Seal (20 mm)
        • Flip Top Seal (26 mm)
        • Flip Top Seal - Translucent (20 mm)
        • Standard Center Hole Seal (20 mm)
        • Standard Center Hole Seal (13 mm)
    • PET Chemicals
      • Complexation Agents for [64Cu]-Labelling
        • Complexation Agents for [64Cu]-Labelling
      • Complexation Agents for [68Ga]-Labelling
        • DOTA-TOC
        • DOTA-TATE
        • DOTA-NOC
        • PSMA-11
        • DOTA
        • DOTAEt
        • NOTA
      • 18F/11C Labelled Compounds
        • ABP688
        • ADIBO
        • AMD
        • beta-CFT
        • beta-CIT
        • Choline
        • DAA1106
        • DASB
        • Fallypride
        • FAZA
        • FDG
        • FDOPA
        • FES
        • FET
        • FETA
        • FHBG
        • FLB457
        • FLT
        • Flumazenil
        • Fluoro-2'-deoxyadenosine
        • Fluoro-Altanserin
        • Fluoro-Dopamine
        • Fluoro-L-proline
        • Fluoro-Setoperone
        • FMAU
        • FMISO
        • FMT
        • FPD
        • Mefway
        • MET
        • ML-10
        • MPPF
        • NNC112
        • MSTAT
        • PBR06
        • PBR111
        • PBR28
          • PHNO
        • PIB
        • PK11195
        • Raclopride
        • THK523
        • T807
        • WAY100635
      • 18F Intermediates
        • 18F-SFB and Aryl Fluoride
        • Intermediates for Alkyl Fluoride
        • Click Chemistry Reagents
        • 18F Ion Tracers
    • Oxygen-18 Water (O-18)
      • Oxygen-18 Water 98 Atom %
      • Oxygen-18 Water 10 Atom %
      • Doubly Labelled Water
    • Oxygen-18 Recycling
    • SPECT Chemicals
      • *I-Labelled Compounds
        • beta-CIT
        • Hippuran
        • IBZM
        • IMZ
        • MIBG
        • Complexation Ligands for Labelling with 99mTc
    • Radiation Shielding
      • PET
      • Technetium-99
        • Dispensing Stations
        • SECURE+™ Unit Dose Syringe Pigs
        • Defender™ Dose Drawing Syringe Shields
        • Latchkey™ Syringe Shields
        • Lifetime™ Syringe Shields
        • Safe Tview™ Syringe Shields
        • SECURE® Syringe Shields
        • EluTer Elution Vial Shields for Technelite® Generator
          • EluTer Elution Vial Shields for Technelite® Generator (Type 1)
          • EluTer Elution Vial Shields for Technelite® Generator (Type 2)
          • EluTer Elution Vial Shields for Technelite® Generator (Type 3)
        • Tungsten Magnetic Vial Shields
        • R-Lead
        • Hamilton Vial Heating Shield
      • Iodine
        • Iodine Dispensing System
        • Piglet™
        • Piglet 2™
        • Piglet 3™
        • Forceps
      • Misc/Other Products
  • Resources
    • Certificates of Analysis
  • About Us
    • Mission Statement
    • Partners
    • Affiliations
    • Quality Assurance
    • Terms & Conditions
  • Contact Us
  • What's New
    • Events and Conferences
    • Industry News
  • Search
Menu
  • About NMC
  • Products
    • Reagent Kits
      • IBA Synthera®
      • GE TRACERlab
      • Siemens Explora™ FDG4
    • Ancillary Supply Sets
      • GE TRACERlab
      • IBA Synthera®
    • Cassettes
      • GE TRACERlab MX
      • IBA Synthera®
    • READI-CLING™ Cartridges
      • GE TRACERlab
      • Siemens Explora™
      • Light QMA Cartridge
      • C18 Cartridge
      • Aluminum Oxide Cartridge
    • FILL-EASE™ Vials, Stoppers and Seals
      • Vials
        • Sterile Empty Vials (SEV)
        • Sterile Evacuated Vials (SVV)
        • Sterile Air-Filled Vials (SV)
        • Sterile Water-Filled Vials (WSV)
        • Sterile Saline-Filled Vials (SSV)
        • Sterile Argon-Filled Vials (ASV)
        • Sterile Nitrogen-Filled Vials (NSV)
      • Stoppers
        • Rubber Stoppers (13 mm)
        • Rubber Stoppers (20 mm)
        • Rubber Stoppers (26 mm)
      • Aluminum Seals
        • Standard Seal (20 mm)
        • Standard Seal (13 mm)
        • Flip Top Seal (20 mm)
        • Flip Top Seal (26 mm)
        • Flip Top Seal - Translucent (20 mm)
        • Standard Center Hole Seal (20 mm)
        • Standard Center Hole Seal (13 mm)
    • PET Chemicals
      • Complexation Agents for [64Cu]-Labelling
        • Complexation Agents for [64Cu]-Labelling
      • Complexation Agents for [68Ga]-Labelling
        • DOTA-TOC
        • DOTA-TATE
        • DOTA-NOC
        • PSMA-11
        • DOTA
        • DOTAEt
        • NOTA
      • 18F/11C Labelled Compounds
        • ABP688
        • ADIBO
        • AMD
        • beta-CFT
        • beta-CIT
        • Choline
        • DAA1106
        • DASB
        • Fallypride
        • FAZA
        • FDG
        • FDOPA
        • FES
        • FET
        • FETA
        • FHBG
        • FLB457
        • FLT
        • Flumazenil
        • Fluoro-2'-deoxyadenosine
        • Fluoro-Altanserin
        • Fluoro-Dopamine
        • Fluoro-L-proline
        • Fluoro-Setoperone
        • FMAU
        • FMISO
        • FMT
        • FPD
        • Mefway
        • MET
        • ML-10
        • MPPF
        • NNC112
        • MSTAT
        • PBR06
        • PBR111
        • PBR28
          • PHNO
        • PIB
        • PK11195
        • Raclopride
        • THK523
        • T807
        • WAY100635
      • 18F Intermediates
        • 18F-SFB and Aryl Fluoride
        • Intermediates for Alkyl Fluoride
        • Click Chemistry Reagents
        • 18F Ion Tracers
    • Oxygen-18 Water (O-18)
      • Oxygen-18 Water 98 Atom %
      • Oxygen-18 Water 10 Atom %
      • Doubly Labelled Water
    • Oxygen-18 Recycling
    • SPECT Chemicals
      • *I-Labelled Compounds
        • beta-CIT
        • Hippuran
        • IBZM
        • IMZ
        • MIBG
        • Complexation Ligands for Labelling with 99mTc
    • Radiation Shielding
      • PET
      • Technetium-99
        • Dispensing Stations
        • SECURE+™ Unit Dose Syringe Pigs
        • Defender™ Dose Drawing Syringe Shields
        • Latchkey™ Syringe Shields
        • Lifetime™ Syringe Shields
        • Safe Tview™ Syringe Shields
        • SECURE® Syringe Shields
        • EluTer Elution Vial Shields for Technelite® Generator
          • EluTer Elution Vial Shields for Technelite® Generator (Type 1)
          • EluTer Elution Vial Shields for Technelite® Generator (Type 2)
          • EluTer Elution Vial Shields for Technelite® Generator (Type 3)
        • Tungsten Magnetic Vial Shields
        • R-Lead
        • Hamilton Vial Heating Shield
      • Iodine
        • Iodine Dispensing System
        • Piglet™
        • Piglet 2™
        • Piglet 3™
        • Forceps
      • Misc/Other Products
  • Contact Us
  • Home /
  • Products /
  • PET Chemicals /
  • 18F/11C Labelled Compounds /
  • Choline
Categories
  • Products
    • Reagent Kits
    • Ancillary Supply Sets
    • Cassettes
    • READI-CLING™ Cartridges
    • FILL-EASE™ Vials, Stoppers and Seals
    • PET Chemicals
      • Complexation Agents for [64Cu]-Labelling
      • Complexation Agents for [68Ga]-Labelling
      • 18F/11C Labelled Compounds
        • ABP688
        • ADIBO
        • AMD
        • beta-CFT
        • beta-CIT
        • Choline
        • DAA1106
        • DASB
        • Fallypride
        • FAZA
        • FDG
        • FDOPA
        • FES
        • FET
        • FETA
        • FHBG
        • FLB457
        • FLT
        • Flumazenil
        • Fluoro-2'-deoxyadenosine
        • Fluoro-Altanserin
        • Fluoro-Dopamine
        • Fluoro-L-proline
        • Fluoro-Setoperone
        • FMAU
        • FMISO
        • FMT
        • FPD
        • Mefway
        • MET
        • ML-10
        • MPPF
        • NNC112
        • MSTAT
        • PBR06
        • PBR111
        • PBR28
        • PIB
        • PK11195
        • Raclopride
        • THK523
        • T807
        • WAY100635
      • 18F Intermediates
    • Oxygen-18 Water (O-18)
    • Oxygen-18 Recycling
    • SPECT Chemicals
    • Radiation Shielding

Choline

View as Grid List
Sort by
Display per page
Picture of Fluoroethylcholine tosylate (50 mg)
FECT-95-0050

Fluoroethylcholine tosylate (50 mg)

Reference standard for [18F]Fluoroethylcholine
Picture of Fluoroethylcholine tosylate (Custom Volume)
FECT-95-000X

Fluoroethylcholine tosylate (Custom Volume)

Reference standard for [18F]Fluoroethylcholine
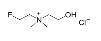
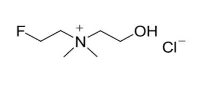
Picture of Fluoroethylcholine chloride (2 mg)
FECC-95-0002

Fluoroethylcholine chloride (2 mg)

Reference standard for [18F]Fluoroethylcholine
Picture of Fluoroethylcholine chloride (5 mg)
FECC-95-0005

Fluoroethylcholine chloride (5 mg)

Reference standard for [18F]Fluoroethylcholine
Picture of Fluoroethylcholine chloride (10 mg)
FECC-95-0010

Fluoroethylcholine chloride (10 mg)

Reference standard for [18F]Fluoroethylcholine
Picture of Fluoroethylcholine chloride (50 mg)
FECC-95-0050

Fluoroethylcholine chloride (50 mg)

Reference standard for [18F]Fluoroethylcholine
  • First
  • Previous
  • 2
  • 3
  • 4
  • 5
  • 6
  • Next
  • About Us
  • |
  • Contact Us
  • |
  • Search
  • |
  • Follow Us
Information
  • Sitemap
  • Privacy Policy
  • Contact Us
Customer service
  • Search
  • Recently Viewed Products
  • New Products
  • Privacy Policy
Follow Us
  • LinkedIn
Copyright © 2025 NUCMEDCOR. All rights reserved.
Powered by nopCommerce